UpdateMarts| PRIMARY KA MASTER | SHIKSHAMITRA | Basic Shiksha News | UPTET
  • Home
  • शिक्षा विभाग
  • UPTET
  • शिक्षामित्र न्यूज़
  • D.El.Ed
  • TGT-PGT
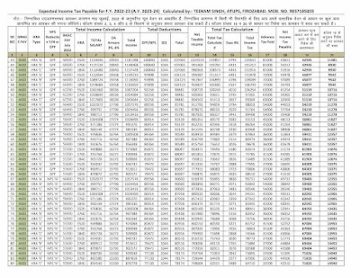
Home / Unlabelled / वित्तीय वर्ष 2022-23 कर निर्धारण वर्ष 2023-24 हेतु शिक्षक बन्धुओं आयकर आगणित कर अनुमानित करदेयता एवं वांछित बचत की जानकारी हेतु उपरोक्त पीडीएफ का प्रयोग कर बचत कर आयकर बचा सकते हैं।

Dec 16, 2022

वित्तीय वर्ष 2022-23 कर निर्धारण वर्ष 2023-24 हेतु शिक्षक बन्धुओं आयकर आगणित कर अनुमानित करदेयता एवं वांछित बचत की जानकारी हेतु उपरोक्त पीडीएफ का प्रयोग कर बचत कर आयकर बचा सकते हैं।







 

Related Articles :

Newer Post Older Post Home

Search 🔎

CLICK BELOW

PRIMARY KA MASTER POPULAR POST

  • अवकाश सूचना: प्राप्त जानकारी के अनुसार उत्तर प्रदेश के इन जिलों में 30 सितंबर का रहेगा अवकाश, देखें किन-किन जिलों में अवकाश रहैगा
  • कल करवाचौथ के चलते महिला शिक्षिकाओं का रहेगा अवकाश, लेकिन रहेंगी यह शर्त, देखें
  • School Holiday list: महिला शिक्षिकाओं की होलिडे लिस्ट, जानिए अक्टूबर महीने में उन्हें कितने अवकाश मिलेंगे
  • Holiday List: महिला शिक्षिकाओं की होलिडे लिस्ट, अक्टूबर महीने में उन्हें मिलने इतने अवकाश, देखिए पूरी लिस्ट
  • School Holiday list: परिषदीय विद्यालयों की अवकाश तालिका, जानिए अक्टूबर महीने में कब-कब स्कूलों में रहेगा अवकाश, लिस्ट देखें
  • चेक_भरने में गलती करने पर अध्यापक निलंबित, पढ़िए पूरा मामला
  • दशहरा पर स्कूलों में कितने दिनों का रहेगा अवकाश? देखिए सम्बंधित अवकाश तालिका

primary ka master Search

PRIMARY KA MSTER DATE WISE NEWS

Categories

68500 69000 69000 भर्ती 8th pay commission B.ed D.El.Ed DA MDM ।। Pm aawas Yojana Primary ka maste Primary ka master Sarkari Naukri Shikshamitra Technology TET/CTET UGC UPHESC || Weather update अवकाश अवकाश। चुनाव | टीजीटी/पीजीटी । टीजीटी/पीजीटी ।। दीक्षा एप्प दीक्षा एप्प। निपुण भारत पेंशन प्री-नर्सरी । फर्जी शिक्षक। फर्जी शिक्षक।। फाइनेंस। बेसिक सचिव बोर्ड परीक्षा । बोर्ड परीक्षा। भर्ती । महानिदेशक। मानव सम्पदा । मिशन प्रेरणा मिशन प्रेरणा । शिक्षक डायरी। शिक्षामित्र । स्थानांतर स्थानांतर/समायोज स्थानांतर/समायोजन

PRIMARY KA MASTER Notice

✍नोट:-इस ब्लॉग की सभी खबरें google search से लीं गयीं ,कृपया खबर का प्रयोग करने से पहले वैधानिक पुष्टि अवश्य कर लें. इसमें ब्लॉग एडमिन की कोई जिम्मेदारी नहीं है. पाठक ख़बरे के प्रयोग हेतु खुद जिम्मेदार होगा.

Pages

  • Home
  • ABOUT US
  • PRIVACY POLICY
  • DISCLAIMER

PRIMARY KA MASTER

SARKARIKAMASTER PRIMARY KA MASTER | UP PRIMARY KA MASTER | PRYMARYKAMASTER | PRIMARY KA MASTER COM | UPTET PRIMARY KA MASTER | UPTET NEWS | UPTET LATEST NEWS | UPTET HELP | UPTET BLOG | UP TET NEWS | UP KA MASTER | UPDATEMART | UPDATEMARTS | UPDATE MART | BASIC SHIKSHA NEWS | BASIC SHIKSHA PARISHAD | UP BASIC NEWS | BASIC SHIKSHA | UP BASIC SHIKSHA PARISHAD | UP BASIC SHIKSHA NEWS | PRIMARY KA MASTER CURRENT NEWS | PRIMARY MASTER | BASIC SHIKSHA NEWS TODAY | BASIC NEWS | PRIMARY KA MASTER NEWS | BASIC SHIKSHA PARISHAD NEWS | UP BASIC SHIKSHA | SUPER TET | प्राइमरी का मास्टर | बेसिक शिक्षा न्यू
 
© UpdateMarts| PRIMARY KA MASTER | SHIKSHAMITRA | Basic Shiksha News | UPTET. This site uses cookies from Google to deliver its services, to personalise ads and to analyse traffic. Information about your use of this site is shared with Google. By using this site, you agree to use of cookies or do not use my website Our Cookie Policy.